介護福祉士

総合問題(3)

問題120 Dさんの疾患で生じる病態として、適切なものを1つ選びなさい。

1 筋線維の変性

2 運動神経の変性

3 網膜の変性

4 自己免疫の低下

5 脳細胞の変性

解答:

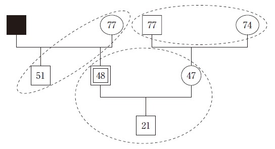
問題121  E居宅介護事業所に勤務するF介護福祉職は、Dさん宅を初回訪問するにあたりフェイスシートのジェノグラムを確認した。
以下のジェノグラムからF介護福祉職が把握した内容として、適切なものを1つ選びなさい。

1 Dさんは、Dさんの母親と同居している。

2 Dさんには息子がいる。

3 Dさんの兄は結婚している。

4 Dさんの父親は生存している。

5 Dさんの妻には兄弟姉妹がいる。

解答:

問題122 F介護福祉職が発言した自立観を示した人物として、最も適切なものを1つ選びなさい。

1 ヴィクトール・フランクル(Frankl, V.)

2 バンク-ミケルセン(Bank-Mikkelsen, N.)

3 エド・ロバーツ(Roberts, E.)

4 フェリックス・バイステック(Biestek, F.)

5 ミルトン・メイヤロフ(Mayeroff, M.)

解答:
介護福祉士試験 過去問サイト